The New Zealand Eating Behaviour Questionnaire Platform

The New Zealand Eating Behaviour Questionnaire Platform
Instruction
  • Practice
  • Your Current Hunger
  • Start the test
  • Eating behaviours
  • How it works
  • Our Science

A test to identify your personal eating behaviour

  • Understanding your unique eating behaviour phenotype helps you to identify why you eat, what drives your weight gain and prevents you from achieving lasting weight loss success.
  • Your eating drivers or motivation to eat are those inert signals that compel you to eat and that may overwhelm your willpower during any dieting attempt.

Please ask yourself

Why do I eat? What motivates me to eat?

  • What are the internal drivers that propel me to eat in different situations?
  • Please add one sentence.

What are eating behaviour phenotypes?

  • Eating behaviour phenotypes are observable patterns or traits of how people behave in relation to food.
  • A person's genetic predispositions determine some of these phenotypes related to weight gain.
  • Others are learned behaviours and are related to environmental factors.
  • Eating behaviour phenotypes can be divided into three main groups.

1. Feasters or reduced satiation

The absence of the feeling of fullness during meals can lead to larger portion sizes and overeating.

Ask yourself – do you get a good sense of fullness during a meal?

  • Satiation is the feeling of fullness that tells your brain to stop eating. Reduced satiation makes it challenging to recognise when to stop eating, leading to delayed meal termination and unwanted overeating.
  • Satiation is determined by satiety hormones derived from your gut that relay to your brain a sense of fullness, and that slow the emptying of your stomach.
  • Adaptations of those satiety hormones are used in modern weight-management medications that work best in individuals with this dominant phenotype.
  • The questionnaire will determine the extent of your degree of feasting-type eating behaviour.

Constant Hunger or reduced satiety

Struggling with a powerful hunger sensation between meals

Ask yourself: Do you get hungry when you haven’t had a meal in a while?

  • Satiety is the sensation of fullness and not wanting or needing to eat.
  • Having a reduced satiety phenotype means that you frequently struggle with hunger and often look for food.
  • You may also notice an early return to hunger after a meal.
  • Satiety is related to the transit of food through your stomach, the background level of hunger hormones, and your metabolism.
  • Certain weight management medications and dietary modifications can help with this sensation and allow greater control over your eating.
  • The questionnaire will assess your degree of constant hunger-type eating behaviour.

Emotional Eating

A strong desire for comfort foods to deal with emotional triggers

Ask yourself – do you use food to make you feel better, to comfort you or to reduce stress?

  • Emotional eating occurs when you use food to cope with your emotions rather than to address hunger; you eat to make yourself feel better.
  • Food can be a coping mechanism when you feel sad, bored, lonely or unduly stressed.
  • Such a behaviour can be measured with questionnaires and may be related to past and present experiences, and emotional states such as low mood and anxiety.
  • Interventions such as cognitive behavioural therapy and certain medications that address these eating behaviours or related psychological problems may help.
  • Identifying whether you exhibit some of these eating behaviours through the questionnaire may support your weight loss success.

How the questionnaire works

  • The questionnaire is straightforward. Try the training and instruction pages to understand the test.
  • We will ask you specific questions related to your eating behaviours or habits.
  • Questions are presented on continuous scales or sliders, and we ask you to place the cursor on the point that best represents your general perception or feeling.
  • There are also image questions that will be explained as you go along.
  • You must allow yourself sufficient time to reflect on the question before you answer.

What will happen once you have completed the questionnaire?

How do we calculate your unique eating behaviour scores?

  • We will use your answers to calculate your eating behaviour type and compare the strengths of your eating behaviours with a reference population, telling you whether you have more powerful drivers to eat than others.
  • We know that this relates to your body weight and your likelihood of succeeding with weight loss.
  • Results will be presented in easy-to-understand graphs at the end of the test.
  • We also use AI to translate your results into personalized recommendations based on your unique eating behaviors (future feature).
  • We will provide general recommendations; however, the decision to discuss and implement any suggestions will be left to you and your healthcare professional.

How to use the results for your weight loss journey?

Identify your unique eating behaviour phenotype to improve your long-term weight loss

  • Your unique eating behaviour phenotype can be assessed with the questionnaire
  • It can guide your health care professional to find the most suitable diet and weight management medication for you
  • You can track how your eating behaviour changes in response to medications, finding out early whether the medication you use is having an effect and will lead to weight loss
  • Increases your awareness of eating behaviours in your day-to-day routines, as this can lead to behaviour change and sustainable success

Clinical studies

Articles in peer-reviewed journals of the New Zealand Eating Behaviour questionnaire for phenotype-guided treatment allocation.

  • The New Zealand Eating Behaviour Questionnaire was validated in three large cohorts of patients with obesity related complications.
  • The questionnaire had good internal reliability, validity and reproducibility.
  • The latest study of the research team revealed twice as much weight loss in patients treated with medication matching their dominant eating behaviour phenotype identified in the NZ-EBQ, compared with an eating behaviour incongruent medication use.
  • The medication studied is called Contrave™ (Naltrexone/Bupropion combination) and had greater benefit for patients with an emotional eating phenotype compared with those with a reduced satiety phenotype.
  • The knowledge gained through phenotyping supports clinicians in using the most appropriate medication for their patients, which is a step towards a precision medicine approach.

Precision Medicine in Obesity: Utilizing the New Zealand-Eating Behaviour Questionnaire (NZ-EBQ) to Predict Pharmacotherapeutic Response

https://pubmed.ncbi.nlm.nih.gov/41445978

 
  • The study titled “Applicability of the New Zealand-Eating Behaviour Questionnaire to predict weight loss responses to naltrexone/bupropion: a proof-of-concept trial” published in December 2025 in Obesity Pillars, the journal of the American Obesity Medical Association, examined whether specific eating behaviour types can predict weight loss response to the naltrexone/ bupropion combination (Contrave™), a pharmacotherapy designed to modulate the brain’s reward system and hypothalamic hunger pathways.​
  • The researchers stratified participants into three distinct eating phenotypes based on NZ-EBQ scores: (1) emotional eaters, (2) those with reduced satiety (chronic hunger and feeling hungry again soon after meals), and (3) those with reduced satiation (difficulty stopping eating).
  • In this 24-week clinical study, the average weight loss across participants was approximately 4.5% of initial body weight, consistent with the expectations for this medication. However, emotional eaters achieved a significantly greater weight loss of 6.44% compared to those with other eating behaviours (reduced satiety), who experienced only a modest average weight loss of 2.8%, and several of them experienced a weight increase while on the medication.
  • These results show that the NZ-EBQ effectively identifies patients whose weight gain is primarily driven by emotions and food cravings, the specific pathway targeted by Contrave™, suggesting that the medication may work particularly well for people with this eating behaviour.
  • The results support the concept of precision obesity treatment, where assessment of eating behaviour can inform medication selection. Larger studies are needed, but the NZ-EBQ shows promise as a practical tool to personalise obesity management in clinical practice.
Graph showing list data
Figure 3 from the publication. ​

Participants with emotional eating achieve greater weight loss with Naltrexone/Bupropion combination compared with participants with constant hunger and feasters. ​
Panel A shows the average weight loss from baseline among participants at 12 and 24 weeks​
Panel B shows a waterfall plot of the weight loss of individual participants whereby each bar represents one participant.
 

The New Zealand eating behavior questionnaire - Validation study for a novel assessment tool to describe actionable eating behavior traits.

 

Appetite. 2023 Dec 1;191:107066

https://pubmed.ncbi.nlm.nih.gov/37852374

Here, researchers tested whether the New Zealand Eating Behaviour Questionnaire (NZ-EBQ) could identify individual eating behaviour patterns. The NZ-EBQ looks at three main eating behaviours:

  1. Feasting – finding it hard to stop eating once you start
  2. Constant hunger – feeling hungry again soon after eating
  3. Emotional eating – eating more when feeling stressed, sad, or upset

This study included people living with obesity, some of whom were on weight-loss medications. The researchers checked whether the questionnaire could reliably measure the three eating behaviours. Participants' answers were mostly consistent when they repeated the survey later, especially for emotional eating. When examining body weight, the study found that higher scores on any of the three eating patterns were associated with higher body mass index (BMI).

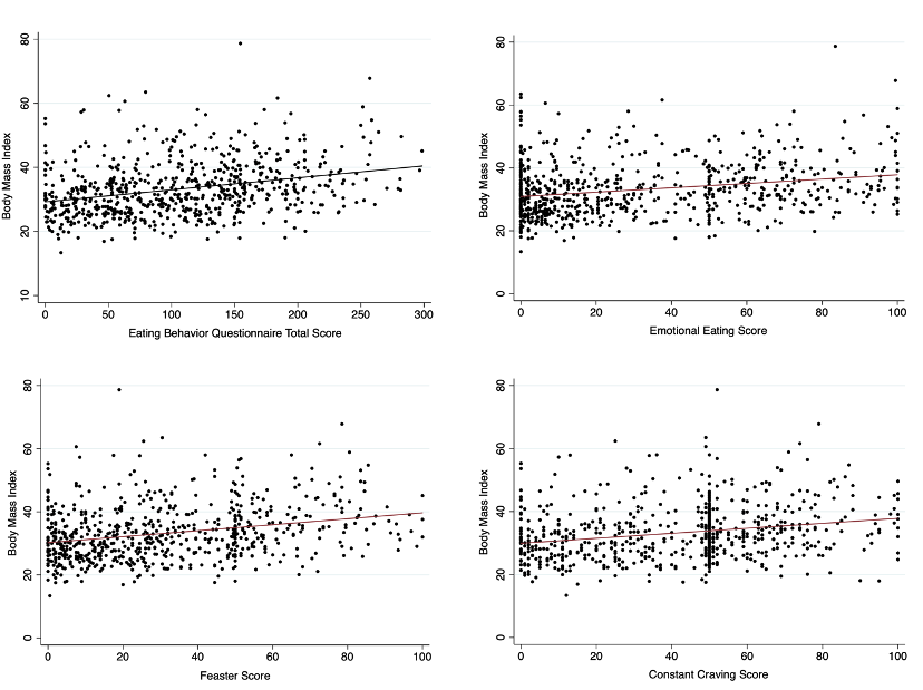
Graph showing list data
Figure 3 from the publication. ​

The relationship between participants EBQ total score (the sum of the three EB scores), and eating behavior specific scores on the NZ-EBQ (0–100) compared to Body Mass Index (kg/m2)

Overall, the findings show that the NZ-EBQ is a reliable tool for identifying personal eating behaviour traits. The results may help healthcare professionals better understand what drives someone's eating, for example, whether emotional eating or constant hunger plays a bigger role. This can help to tailor treatments such as lifestyle advice, nutrition support, or medication more precisely to each person's needs.

 

Schmiedel O, Ivey M, Murphy R. Broader Validation of New Zealand Eating Behavior Questionnaire as Clinical Assessment Tool to Identify Actionable Eating Behavior Traits. Nutrients. 2025 Mar


  https://pubmed.ncbi.nlm.nih.gov/40292445

This study took the New Zealand Eating Behavior Questionnaire (NZEBQ) to the next level, testing it in two separate more diverse groups, including people with higher body weight and different ethnic backgrounds.

Unlike the earlier study, it focused on real-world reliability and how well the questionnaire captures three key eating patterns: feasting, constant hunger, and emotional eating.

The results showed it works consistently across different people, with higher scores linked to higher body weight.

This means the NZEBQ can help clinicians identify individual eating traits and design more personalized strategies for managing weight.

Graph showing list data
Figure 3 from the publication. ​

Prevalence of Diabetes and Ethnicity of Participants in the Two Cohorts of this study compared to Initial Cohort (first paper). The values are depicted as a percentage of participants within each cohort. The absolute number of participants is provided for reference.
 

How testing works

The four steps of the test

Step 1

Practice how to take the test

Slider questions

Place the cursor on the point that best represents your general perception or feeling about the question.

Definitely FALSE Undecided Definitely TRUE
0

Image questions

There will be different image-based questions. Please follow the instructions and answer the questions.

Banana Waffle

You will be shown an image and asked about your preferences, thoughts and feelings.

Please take as long as you need, answer as honestly as possible, reflecting on how you think about the image and how it makes you feel.

Practice your response below with the slider to get ready for the first set of questions.

How often do you feel hungry?

Only at meal times Sometimes between meals Almost all the time
0
Practice your response below with the slider to get ready for the first set of questions.

During a meal, I have no sense of being full
and can't stop until I'm really stuffed.

Definitely FALSE Undecided Definitely TRUE
0

Please imagine, as vivid as you can, the fragrance and the taste of the waffle as you savour the first bite.

Which of the following answers ring true when you imagine savouring the first bite? Please select all the choices that apply to you.

Step 2

Take the Pretest – My hunger and fullness sensation RIGHT NOW

Place the slider at the point on the line you agree most with.

How HUNGRY do you feel right now?

Not at all hungry Extremely hungry
0
Place the slider at the point on the line you agree most with.

How FULL do you feel right now?

Not at all Extremely full
0
Place the slider at the point on the line you agree most with.

How strong is your DESIRE TO EAT right now?

Not at all Extremely
0
Place the slider at the point on the line you agree most with.

HOW MUCH FOOD could you eat right now?

None at all A very large amount
0
Step 3

The main questionnaire - instructions

Are you ready to take the test?

Be as honest and accurate with your answers as you can.

There are no right or wrong answers.

Place the slider at the point on the line you agree most with.

During a meal, I have no sense of being full and can't stop until I'm really stuffed.

Definitely FALSE Undecided Definitely TRUE
0
Place the slider at the point on the line you agree most with.

When I feel anxious, worried, or tense, I find myself eating.

Definitely FALSE Undecided Definitely TRUE
0
Place the slider at the point on the line you agree most with.

When I'm preparing food, I cannot stop tasting and eating.

Definitely FALSE Undecided Definitely TRUE
0
Place the slider at the point on the line you agree most with.

Are you able to stop eating whenever you want?

I can stop eating
whenever I feel I have had enough
I can stop eating with some difficulty I am totally unable to
stop eating until I'm over full
0
Place the slider at the point on the line you agree most with.

I can get moody when I can't have certain foods I crave,
and I feel bad or empty if I deny myself having them.

Definitely FALSE Undecided Definitely TRUE
0
Place the slider at the point on the line you agree most with.

I can get hungry again in a few hours, even after a large meal.

Hardly Ever Occasionally Most of the Time
0

What is the first thing that comes to mind when you see this picture?

What is the first thing that comes to mind when you see this picture? Please write only a couple of words.

Place the slider at the point on the line you agree most with.

Do you eat large portion sizes?

Definitely FALSE Undecided Definitely TRUE
0
Place the slider at the point on the line you agree most with.

When I feel lonely, I console myself by eating.

Definitely FALSE Undecided Definitely TRUE
0
Place the slider at the point on the line you agree most with.

Do you feel a sensation of fullness during eating?

I know
when I had enough
Sometimes,
I overeat
Frequently, I eat so much
that I feel bloated
0
Place the slider at the point on the line you agree most with.

When I feel emotionally upset or when someone lets me down,
I have a strong desire to reward myself with food.

Definitely FALSE Undecided Definitely TRUE
0
Place the slider at the point on the line you agree most with.

I have cravings or urges to eat snacks after supper or before bedtime.

HARDLY EVER OCCASIONALLY MOST NIGHTS
0
Place the slider at the point on the line you agree most with.

Once I start eating, I have trouble stopping.

Definitely FALSE Undecided Definitely TRUE
0
Place the slider at the point on the line you agree most with.

I eat when I'm down.

NEVER Undecided VERY OFTEN
0
Place the slider at the point on the line you agree most with.

When I'm hungry, I lose control over how much I eat
and find it hard to stop eating.

Definitely FALSE Undecided Definitely TRUE
0
Place the slider at the point on the line you agree most with.

When I see a real delicacy,
I often get so hungry that I must eat it right away.

NOT AT ALL Undecided Absolutely TRUE
0

Please click on the cookie you would like to eat. (only one choice allowed)

Place the slider at the point on the line you agree most with.

When I feel sad, blue, or disappointed,
I often overeat or have the desire to eat.

Definitely FALSE Undecided Definitely TRUE
0
Place the slider at the point on the line you agree most with.

Whenever I have a food craving, I keep on thinking about eating
until I actually eat it.

Definitely FALSE Undecided Definitely TRUE
0
Place the slider at the point on the line you agree most with.

I have a desire to eat when things have gone wrong.

Definitely FALSE Undecided Definitely TRUE
0
Place the slider at the point on the line you agree most with.

How often do you feel so hungry that you just must eat something?

NEVER OCCASIONALLY VERY OFTEN
0
Place the slider at the point on the line you agree most with.

When you are going through a stressful or upsetting time,
what happens to your eating?

I go off food completely Undecided I find it difficult to control
my eating (I eat much more)
0

Please imagine, as vividly as you can, the fragrance and the taste of the waffle as you savour the first bite.

Which of the following answers rings true when you imagine savouring the first bite? Please select all the choices that apply to you.

Place the slider at the point on the line you agree most with.

How difficult would it be for you to stop eating halfway through a meal
(not finish your plate)?

Very Easy Moderately Difficult Very Difficult
0
Place the slider at the point on the line you agree most with.

I am always hungry enough to eat at any time.

Definitely FALSE Undecided Definitely TRUE
0
Place the slider at the point on the line you agree most with.

I know that I am an emotional eater.

Definitely FALSE Undecided Definitely TRUE
0
Place the slider at the point on the line you agree most with.

If I haven't eaten for a while,
I find it very hard to resist my hunger.

NEVER OCCASIONALLY VERY OFTEN
0
Place the slider at the point on the line you agree most with.

How difficult is it for you NOT to overeat at a large, tasty meal
(e.g. buffet-style meal)?

VERY EASY Undecided VERY DIFFICULT
0
Place the slider at the point on the line you agree most with.

I have a habit of eating too much at night,
and I'm not hungry in the morning.

HARDLY EVER OCCASIONALLY MOST NIGHTS
0

Demographics

Please tell us a bit about yourself to help interpret your Eating Behaviour score.

Thank You!

  • Thank you for taking the time to complete the questionnaire. Your responses will help us calculate your unique eating behaviour phenotype.
  • Here we are asking for height and weight data to calculate your Body Mass Index (BMI) to interpret your individual data in a broader context.
  • This response helps you understand how your unique eating behaviour relates to your BMI and to the background population.
  • Your responses will remain completely anonymous. No personally identifying information will be collected, and your answers cannot be traced back to you. We will only collect aggregated data and trends, and your individual answers will remain confidential.

Your Honest Input Matters

Please provide correct answers as we need to use the data to calculate your results.

Many thanks for providing the information.

Disclaimer

Your personal Eating Behaviour Score – General Information

Use your score to start or redirect your weight loss journey. The NZ-EBQ calculator is currently open access and free to use by anyone interested in their unique eating behaviour, whether they are on obesity medications or not (link to the legal aspect).

The NZ-EBQ does not give or replace medical advice or medical information. Your eating behaviour score is not a diagnosis of a particular medical condition or of the underlying causes of your weight, as your weight will be affected by many other factors.

There are no ‘good’ or ‘bad’ results; the questionnaire is designed to describe eating patterns, not to judge or diagnose. Your responses may help guide future discussions, support options, or research related to eating behaviour.

You should always talk to your doctor or other healthcare professional about any health problems you may be suffering from.

What will we do with your data?

We will use the answers you provide to calculate your unique eating behaviour score and to provide you with a summary of your information on how your score compares to others.

By using the NZ-EBQ calculator, you consent to us using your information for this purpose. We do not share that information with any third party other than the service providers who securely holds the data.

With your consent (optional), we will use your data for non-commercial research purposes. For example, we may publish research into eating behaviours that uses this information; however, this is not a research study. We may also use it to improve the NZ-EBQ.

Further information about your rights in relation to your data and how to contact us are set out in our privacy policy.

See our Privacy Policy to learn how we protect your data.

Be part of our ongoing research.

We would appreciate it if you could contribute the information you have provided when using the NZ-EBQ today to future research into eating behaviours and the usefulness of the NZ-EBQ. Please note this is not a research study.

Your consent is completely optional (you will get the same results either way). You may withdraw your consent at any time. For more information see our Privacy Policy.


Visual Analogue Scales (0-100)

Your
results:

EE
0
100
CH
0
100
F
0
100

How to understand these scales

  • Each scale shows a different aspect of your eating behaviour.
  • The three scales have been constructed based on your answers in the questionnaire
  • Between 7 and 10 questions contribute to one scale (EE, CH and F)​
  • There are no right or wrong scores.
  • Each scale runs from 0 to 100.
  • 0 means very low on that scale
  • 100 means very high on that scale
  • The number shows where your results sit along that line

For example:

  • For a person with the ‘Feasting’ eating behaviour type (difficulty in stopping eating or eating large portions), the results may look like: Emotional eating is low, Constant Hunger is moderate, and Feasting is high
  • Their primary eating behaviour is Feasting, and their secondary driver is Continuous Hunger, with some degree of overlap. Such a pattern can help guide conversations about what is most relevant or helpful to focus on when starting a weight-loss journey.

Bar Chart - Z Scores

Your
results:

How to understand this chart

  • This chart shows how your results compare with those of other people who have taken the same test.
  • Each bar shows whether your score on a particular eating behaviour trait is higher or lower than most people, and by how much.

In detail

  • The vertical dashed line at zero shows the average score of all other people who have taken the same test
  • Bars extending to the right mean your score is above average.
  • Bars extending to the left mean your score is below average.
  • The length of the bar shows how far from average your score is.

For example:

  • Compared with the reference population, this individual shows a very high score on Emotional Eating, a slightly-above-average score on Constant Hunger, and a clearly below-average score on Feasting.
  • This result should be interpreted in conjunction with the individual Visual Analogue Scales (graph 1).

Violin Plot

Your
results:

How to understand this chart

  • This chart shows how your results compare with those of others who have taken the same questionnaire.
  • The shaded shape shows where people’s scores fall.
  • The wider parts of the shape mean more people scored there.
  • The RED dot marks your own score.
  • Where your dot sits within the shape shows whether your score is lower, typical, or higher when compared with others.

For example:

  • For this person, the results show stronger Emotional Eating than most others, a Constant Hunger score like that of most people who took the test, and a lower score than most in Feasting.
  • The results should be interpreted together with the individual visual analogue scales.

Scatter Plot

Your
results:

General information:

  • Each dot on the graph represents one person. The position of the dot shows that person’s eating behaviour score (along the bottom) and their body mass index, or BMI (up the side).
  • The large RED DOT shows where your value sits in relation to all others who have taken the test.
  • Overall, the distribution of points suggests a relationship between eating behaviour score and BMI, with the BMI tending to increase as eating behaviour scores increase.
  • However, people with similar eating behaviour scores can have different BMI values.
  • This means that knowing someone’s eating behaviour score does not reliably predict their BMI, and that eating behaviour is only one factor among many that influence body weight.
  • Many other factors, such as genetics, metabolism, physical activity, health conditions, and environment, also play important roles in determining a person’s BMI.

How to interpret the results:

Option A:
  • If your individual value (RED DOT) is above the average line (red line in the middle of the graph), your body mass index (BMI) is higher than average for people with a similar eating behaviour score. In simple terms, compared with others who have a similar eating behaviour score, your BMI is greater.
  • This shows that, for you, other factors, such as genetics, metabolism, medications, health conditions, physical activity, sleep, or life circumstances, are likely contributing to a higher BMI than would be expected based on your eating behaviour alone.

Option B:

  • If your individual value (RED DOT) is below the average line, your body mass index (BMI) is lower than average for people with a similar eating behaviour score. Hence, compared with others who have a similar eating behaviour score, your BMI is lower (you are leaner).
  • This result shows that your dominant eating behaviour is the driving factor for weight gain, and working on your dominant eating behaviour with lifestyle or medication might be the best approach for you.

About the New Zealand Eating Behaviour (NZ-EBQ) calculator

The NZ-EBQ calculator is intended to provide a guide to help you understand your unique eating behaviour type. It can show your primary and secondary drivers of eating and put them in the context of your body mass index. It also compares your results with those of hundreds of others who have already taken the test.

It can also show that your eating behaviour may be impacting your life and can be the starting point for a discussion with your healthcare provider.

  • Use your score to start or redirect your weight loss journey. The NZ-EBQ calculator is currently open access and free to use by anyone interested in their unique eating behaviour, whether they are on obesity medications. 
  • It does not give or replace medical advice or medical information. Your eating behaviour score is not a diagnosis of a particular medical condition or of the underlying causes of your weight, as your weight will be affected by many other factors, such as genetics, metabolism, medications, health conditions, physical activity, sleep, or life circumstances.
  • There are no ‘good’ or ‘bad’ results; the questionnaire is designed to describe eating patterns, not to judge or diagnose. Your responses may help guide future discussions, support options, or research related to eating behaviour.
  • You should always talk to your doctor or other healthcare professional about any health problems you may be suffering from.
  • Eating behaviours can change over time, and these results represent a snapshot, not something that is fixed.
  • Tracking your eating behaviour over time can help you to understand how any intervention, whether that’s diet, medication, or lifestyle changes, impacts your eating. 
  • It also lets you make data-driven decisions about which changes work for you. 
  • Our research (https://pubmed.ncbi.nlm.nih.gov/41445978/) shows an association between individual eating behaviour scores and successful use of certain medications, suggesting that eating behaviour matched medication choice doubled the likelihood of success. 
  • Repeat your calculation after making changes, to track your score over time and see what’s working.
  • The NZ-EBQ calculator is a result of our research. (https://pubmed.ncbi.nlm.nih.gov/37852374/) (https://pubmed.ncbi.nlm.nih.gov/40292445/)
  • The test was validated in over 1000 men and woman with a wide range of starting weight and different ethnicities and recently tested in people using prescribed obesity medication.
  • With key insights from this research, we created a new and improved version, called the NZ-EBQ calculator, which can be used by patients, clinicians, and researchers to drive forward the research about EB and how they impact weight management.
  • The four appetite questions at the start were designed to capture how you were feeling in the moment you completed the questionnaire. 
  • They ask about your current level of hunger, how full you feel, and how strong your desire to eat is. Each question examines a slightly different aspect of appetite, but together they provide an overall picture of your immediate appetite state. Your answers are combined to create an overall appetite score. 
  • This score helps us understand whether you are coming into the main part of the assessment feeling generally hungry or comfortably satisfied. This information can influence how you respond to later eating-related questions. 
  • By measuring appetite at the start, we can take your current appetite into account when calculating and interpreting later results. This step helps ensure that any findings reflect your typical eating behaviours and responses, rather than being overly influenced by how hungry or full you happened to feel at that moment.
  • Eating behaviour traits are relatively stable patterns in how we experience appetite and regulate eating. A large body of evidence shows that these traits meaningfully influence body weight and weight change over time. 
  • The NZ- EBQ measures EB traits that are related to aspects of eating that are less under voluntary our control (inert drivers of eating) such as satiety responsiveness (the awareness internal fullness signals), which is linked with overeating at mealtimes; emotional eating, which is eating in response to emotions such as stress, sadness, or boredom rather than hunger, and hunger, which consists of the intensity of feeling hungry and the time to return to hunger after a meal.
  • There are many other eating behaviour traits more closely related to judgement or voluntary behaviour, such as food responsiveness, enjoyment of food, planning and monitoring, restraint and its opposite, disinhibition, and external cue eating or variety seeking. Such behaviours can change and are less reliable measures for treatment selection but may be important and complementary.
  • We will use the answers you provide to calculate your unique eating behaviour score and to provide you with a summary of your information on how your score compares to others.
  • By using the NZ-EBQ calculator, you consent to us using your information for this purpose. We do not share that information with any third party other than the service providers who securely holds the data.
  • With your consent (optional), we will use your data for non-commercial research purposes. For example, we may publish research into eating behaviours that uses this information; however, this is not a research study. We may also use it to improve the NZ-EBQ. 
  • You may withdraw that consent at any time by contacting …. Give e-mail.
  • We will not keep your information longer than the purposes for which we collected it. If you give your consent for research purposes, because our research is intended to be long-term, we are currently unable to set a specific time limit. But we will keep it under review and ensure that your information is kept no longer than necessary.
  • Further information about your rights in relation to your data and how to contact us are set out in our Privacy Policy.

End of the Eating Behaviour Assessment

Feel free to leave us feedback on the NZ-EBQ!